前言
DIO(diet-induced obesity,饮食诱导肥胖)大小鼠模型,已经广泛应用于代谢性疾病研究。简单回顾一下DIO模型的历史,已发表上万篇研究论文。1996年,Research Diets开发了45%脂肪供能的高脂饲料D12451,发现可以加速动物肥胖表型。特别是1999年,开发的含有 60% 脂肪供能的高脂纯化饲料D12492,已经发展成为大小鼠DIO模型造模的黄金标准[1]。但DIO模型仍存个体差异大,饲养条件标准化不足,以及代谢表型不稳定等问题。这些问题的存在,严重影响模型了的稳定性、可重复性及转化价值。2023年,Cordeira博士研究发现,大小鼠对D12492 摄入量与饲料新鲜程度相关,主要是含水量或脂质氧化影响了饲料的品质和口感,因而建议应将D12492冷冻保存,并且每周至少更换高脂饲料两次[2]。这项研究表明,饲养条件标准化对DIO模型的稳定性影响很大。

图1 VHFD(very high-fat diet,即60%的高脂饲料),大小鼠的摄食量与高脂饲料的新鲜程度相关[2]
DIO小鼠模型饮食配方:
(1)高脂饮食(HFD):常用60%脂肪供能配方(如D12492),诱导肥胖及胰岛素抵抗
(2)高糖高脂饮食(HSFD):模拟西方饮食,加速代谢异常
(3)定制化饮食:可调整胆固醇、果糖等成分以研究特定代谢紊乱
造模周期与表型监测
(1)短期(4-8周):体重增长、脂肪积累
(2)中长期(12-20周):糖耐量受损、肝脏脂肪变性、低度炎症
(3)检测指标:体重曲线、空腹血糖、随机血糖、葡萄糖耐受量(OGTT)、胰岛素耐受量(ITT)、组织病理(如HE染色)等。
特别值得注意的是,有文献统计从不同供应商(JAX、Charles River、Janvierdeng等)获取的商业化C57BL/6J小鼠中,5-25%在幼龄期(4-6周龄)会出现自发性门体分流和胆汁血症(胆汁淤积)。这些小鼠饲喂高脂饲料时,除了体重不增加,其血清总胆汁酸(BAs)水平升高(>45 μmol/L),且容易发生肝损伤和肝癌[3]。这些体重不增加的小鼠,在DIO入组时应该排除,以免影响实验的重复性。维通达依托于代谢性疾病研究平台,可提供肥胖、糖尿病、动脉粥样硬化及MASH等代谢疾病模型与其药效评价服务,深入研究发生机理。
维通达DIO小鼠现货模型
·小鼠品系:6周龄雄性C57BL/6J小鼠;
·饮食方案:DIO组(n=30)小鼠持续饲喂国产饲料D12492(60%脂肪供能),CON组(n=30)小鼠持续饲喂正常饲料;
·表型:体重增加、血脂升高、血糖升高,葡萄糖耐受不良、胰岛素抵抗等;
·应用场景:II型糖尿病研究、抗肥胖药物药效评价
部分数据展示
1. 体重曲线
饲料:XT60(60%HFD),
开始诱导周龄:6周龄,开始诱导,雄性C57小鼠

图2. DIO小鼠体重曲线
DIO饲喂8周后小鼠体重明显升高,10~12周出现代谢综合征、神经病变、胰岛素抵抗,和血糖升高等。在大鼠和小鼠模型中,饮食中的脂肪摄入量与肥胖之间存在正相关关系,常用雄性。
2. 随机血糖

图3. DIO小鼠随机血糖曲线(DIO组血糖升高)
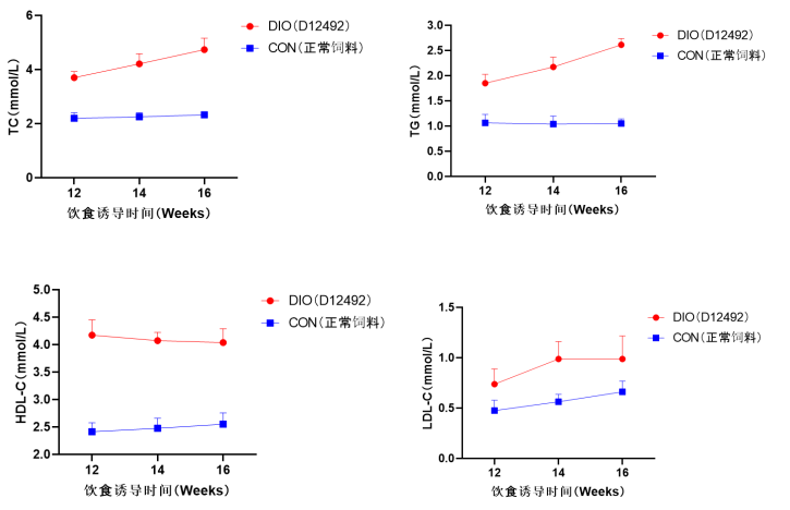
3. 血脂相关指标

图4. DIO小鼠血脂相关指标曲线(DIO组表现出高脂血症)
维通达提供代谢性疾病相关模型与服务
维通达依托于代谢性疾病研究平台,可提供肥胖、糖尿病、动脉粥样硬化及MASH等代谢疾病模型与其药效评价服务,深入研究发生机理。


参考文献
1. Tang H, Vasselli JR, Wu EX, Boozer CN, Gallagher D. High-resolution magnetic resonance imaging tracks changes in organ and tissue mass in obese and aging rats. Am J Physiol Regul Integr Comp Physiol. 2002 Mar;282(3):R890-9.
2. Cordeira J. Daily replacement of very high-fat diet stabilizes food intake and improves mouse welfare by ensuring food quality. PLoS One. 2023 Sep 18;18(9):e0291347.
3. Gallage S, Avila JEB, Ramadori P, Focaccia E, Rahbari M, Ali A, Malek NP, Anstee QM, Heikenwalder M. A researcher's guide to preclinical mouse NASH models. Nat Metab. 2022 Dec;4(12):1632-1649.